How to find normal vector?

Asked by Daniel

Report
in progress 29
15 Answers 94 views

Leave a reply to Daniel : find normal vector


Answers ( 15 )

  1. Introduction. For a parametrically defined curve we had the definition of arc length. Since vector valued functions are parametrically defined curves in disguise, we
    Read More

    Ratings : 11 %   

      
  2. Normal vector from plane equation :

    how to find normal vector

    Ratings : 73 %   

      
  3. Normal Vectors and Cross Product. Given two vectors A and B, the cross product A x B is orthogonal to both A and to B. This is very useful for constructing normals.
    Read More

    Ratings : 55 %   

      
  4. Normal Vector of a Plane :

    how to find normal vector

    Ratings : 59 %   

      
  5. This article is about the univariate normal distribution. For normally distributed vectors, see Multivariate normal distribution.
    Read More

    Ratings : 13 %   

      
  6. In this post we will take a drawn design, scan it and clean it up in Photoshop, then trace it using the Live Trace feature in Adobe Illustrator. Live Trace
    Read More

    Ratings : 58 %   

      
  7. The Unit Tangent and the Unit Normal Vectors The Unit Tangent Vector. The derivative of a vector valued function gives a new vector valued function that is tangent to
    Read More

    Ratings : 15 %   

      
  8. Finding a Unit Vector, Ex 1 :

    how to find normal vector

    Ratings : 12 %   

      
  9. Unit Vector Perpendicular to Two Vectors :

    how to find normal vector

    Ratings : 66 %   

      
  10. Normal Vector (Quick & Easy) :

    how to find normal vector

    Ratings : 51 %   

      
  11. Determining a Unit Normal Vector to a Surface :

    how to find normal vector

    Ratings : 64 %   

      
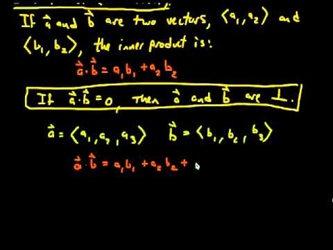
  12. Perpendicular Vectors: Dot Product :

    how to find normal vector

    Ratings : 73 %   

      
  13. Finding the unit tangent and normal vectors :

    how to find normal vector

    Ratings : 23 %   

      
  14. Find Orthogonal Vector :

    how to find normal vector

    Ratings : 74 %