How to prove f is continuous?

Asked by Black Baron Jack

Report
in progress 20
17 Answers 105 views

Leave a reply to Black Baron Jack : prove f is continuous


Answers ( 17 )

  1. Calculus I - Proof that Differentiability Implies Continuity :

    how to prove f is continuous

    Ratings : 55 %   

      
  2. Continuity - Piecewise Function Example :

    how to prove f is continuous

    Ratings : 51 %   

      
  3. The wife had discovered that the husband was carrying on an intrigue with a French girl, who had been a governess in their family, and she had announced to her
    Read More

    Ratings : 69 %   

      
  4. In light of the fact that the New York Times has run another article on the fascinating world of Origin of Life research and the creation of synthetic life
    Read More

    Ratings : 61 %   

      
  5. ·vy (săv′ē) Informal. adj. sav·vi·er, sav·vi·est. 1. Well informed and perceptive; shrewd: savvy Washington insiders. 2. Knowledgeable or proficient.
    Read More

    Ratings : 15 %   

      
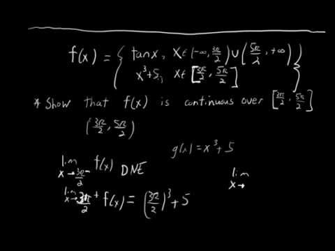
  6. Example: Showing that f(x) is continuous over a closed interval :

    how to prove f is continuous

    Ratings : 32 %   

      
  7. Just because you think you have proven evolution fiction doesn't automatically prove Gods existence life has been proven to spontaneously come about do to bacteria in
    Read More

    Ratings : 70 %   

      
  8. Remember that scene in Minority Report, where Tom Cruise is on the run from the law, but is unable to avoid detection because everywhere he goes there are constant
    Read More

    Ratings : 28 %   

      
  9. Continuous and Uniformly Continuous Functions :

    how to prove f is continuous

    Ratings : 37 %   

      
  10. How to Check Continuity of a Function in Calculus 1 :

    how to prove f is continuous

    Ratings : 63 %   

      
  11. Proof Construction: A function with bounded derivative is uniformly continuous :

    how to prove f is continuous

    Ratings : 54 %   

      
  12. Finding the value that makes the function continuous :

    how to prove f is continuous

    Ratings : 42 %   

      
  13. Calculus - Continuous Functions :

    how to prove f is continuous

    Ratings : 18 %   

      
  14. Proof that every Differentiable Function is Continuous :

    how to prove f is continuous

    Ratings : 20 %   

      
  15. Moment generating function of continuous uniform distribution |proof|part 2 :

    how to prove f is continuous

    Ratings : 37 %   

      
  16. The Second Fundamental Theorem of Calculus :

    how to prove f is continuous

    Ratings : 29 %