How to write net ionic equations?

Asked by Bibulous Edward

Report
in progress 69
16 Answers 308 views

Leave a reply to Bibulous Edward : write net ionic equations


Answers ( 16 )

  1. Answer Key to Practice Problems on Net Ionic Equations: 1. Molecular: AgNO 3 (aq) + KCl (aq) ® AgCl (s) + KNO 3 (aq)
    Read More

    Ratings : 73 %   

      
  2. How do I write a net ionic equation for an aqueous double displacement reaction? What are the products and the net ionic equation for the reaction between H 2 C 2 O 4
    Read More

    Ratings : 52 %   

      
  3. The Steps. 1. On line 1(...)Write these and the names of products by switching last names of the reactants. 2. Check solubility of the products, to determine if there
    Read More

    Ratings : 65 %   

      
  4. Solubility and Net Ionic Equations. Net ionic equations are useful in that they show only those chemical species participating in a chemical reaction.
    Read More

    Ratings : 64 %   

      
  5. Ionic Equations, Net Ionic Equations and Spectator Ions - Chemistry Tutorial :

    how to write net ionic equations

    Ratings : 60 %   

      
  6. What is net ionic equation? What are the rules to write net ionic equation? Learn how to write, balance net ionic equations with examples.
    Read More

    Ratings : 16 %   

      
  7. Practice Writing Net Ionic Equations :

    how to write net ionic equations

    Ratings : 69 %   

      
  8. How to Write Total and Net Ionic Equations (Easy) :

    how to write net ionic equations

    Ratings : 30 %   

      
  9. How to Write a Net Ionic Equation - Chemistry :

    how to write net ionic equations

    Ratings : 62 %   

      
  10. Molecular, Complete Ionic, and Net Ionic Equations :

    how to write net ionic equations

    Ratings : 19 %   

      
  11. Molecular, Ionic, and Net Ionic Equations :

    how to write net ionic equations

    Ratings : 66 %   

      
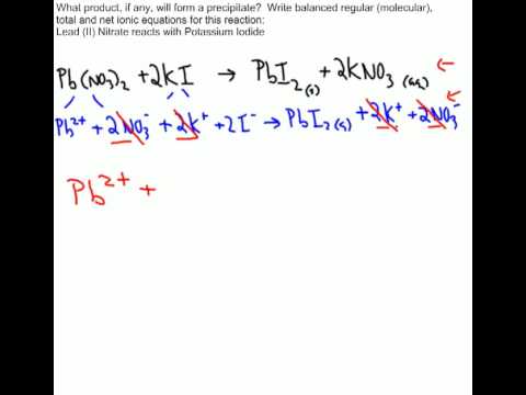
  12. Writing Molecular, Total & Net Ionic Equations :

    how to write net ionic equations

    Ratings : 38 %   

      
  13. Total & Net Ionic Equations :

    how to write net ionic equations

    Ratings : 66 %   

      
  14. Writing Total Ionic and Net Ionic Equations new :

    how to write net ionic equations

    Ratings : 21 %   

      
  15. How to Write Net Ionic Equations for Acid Reactions : Chemistry Lessons :

    how to write net ionic equations

    Ratings : 74 %   

      
  16. Writing Net Ionic Equations for Acid Base Reactions :

    how to write net ionic equations

    Ratings : 34 %